[置頂] 一般焊接用德國DIAS紅外測溫儀和紅外熱像儀
[置頂] 激光焊接加工、3D打印中的測溫方法及熱成像方法
[置頂] 真空環境下,該使用什么德國DIAS紅外測溫儀和紅外熱像儀呢?
Con il tuo nome , 你的名字, 意大利女歌手Ivana Spagna
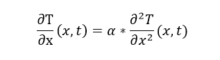
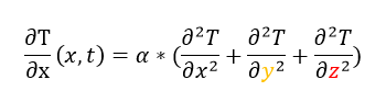
一維熱傳導方程, 三維熱傳導方程
一維熱傳導方程


三維熱傳導方程


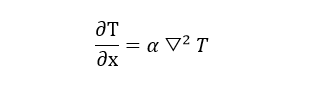
三維熱傳導方程又可以簡寫為:


2022、2023年即將停產的紅外測溫儀及紅外熱像儀型號
2022年3月25日接德國DIAS紅外公司正式郵件,下面的型號即將停產,停產時間及替代產品也請參見如下表格:
| 產品名稱 | 最后訂單日 | 替代品 |
| PYROVIEW 480N portable | 停產 | 無 |
| PYROLINE 128N compact | 2022/7/31 | PYROLINE 512N compact+ |
| PYROLINE 128N protection | 2022/7/31 | PYROLINE 512N protection |
| PYROLINE 256N compact | 2022/7/31 | PYROLINE 512N compact+ |
| PYROLINE 256N protection | 2022/7/31 | PYROLINE 512N protection |
| DT54L | 停產 | 無 |
| DT54G | 停產 | 無 |
| DT56L | 停產 | 無 |
| DT56G | 停產 | 無 |
| DY10G | 停產 | DA10G |
| DP10N | 2023/3/1 | 無 |
| DPE10M | 2023/3/1 | DA10M |
| DPE10MF | 2023/3/1 | DA10F / DA10MF |
| 以太網接口箱DCU IoP | 2022/7/31 | 無 |
更多信息,請咨詢我們。
陸凱《贈范曄詩》- 2個陸凱
陸凱《贈范曄詩》
折梅逢驛使,寄與隴頭人。
江南無所有,聊贈一枝春。
陸凱(?-504年),本姓步六孤,字智君,代郡(今山西代縣)人,鮮卑族,北魏人。
非三國時吳國人鎮西大將軍、荊州牧、嘉興侯、左丞相陸凱(198-269年)。
高靈敏度熱釋電單元和多元探測器
高靈敏度熱釋電單元和多元探測器
通過網絡傳輸紅外熱成像儀的視頻流
德國DIAS紅外公司的軟件,如PYROSOFT Professional、PYROSOFT Professional IO、PYROSOFT Automation、PYROSOFT Automation SC中已經集成了H.264格式的可編程實時視頻流編碼器(RTSP),這樣就可以通過網絡傳輸紅外熱成像儀的視頻流。其它在原始紅外熱圖像中的信息,比如ROI(感興趣的區域)或顯示的溫度,也會以數據流的形式傳輸。這樣就可以輕松連接多個熱像儀觀測站。
中國碳交易市場
八大碳交易交易所官網:
北京綠色交易所:北京環境交易所
上海環境能源交易所:上海環境能源交易所
廣州碳排放權交易所:廣州碳排放權交易所
湖北碳排放權交易中心:湖北碳排放權交易中心
深圳排放權交易所: 深圳排放權交易所
天津排放權交易所:天津排放權交易所有限公司
重慶碳排放權交易中心:重慶碳排放權交易中心
海峽股權交易中心:海峽股權交易中心--環境能源交易平臺
另外還有一個沒有試點碳交易市場但是可以交易CCER的交易所:
四川聯合環境交易所:四川聯合環境交易所
一些適用的外貿工具網站
1、全球海關大數據免費查詢 https://comtrade.un.org
2、美國海關數據 US Customs Import Data https://portexaminer.com/ 完全免費,美國的大客戶差不多都能挖出
3、海運網運費搜索 http://ship.shippingchina.com/fclprice/index/
4、世界各國進口關稅稅率查詢 http://wmsw.mofcom.gov.cn/wmsw/
5、深度翻譯網站 https://www.deepl.com/translator
6、HS編碼/關鍵字查詢申報要素 http://www.hs-bianma.com/
7、各國海關組織關稅查詢 http://wmsw.mofcom.gov.cn/wmsw/
場效應管FET及其意思
場效應管FET及意思
場效應管和雙極晶體管不同,僅以電子或空穴中的一種載子動作的晶體管。按照結構、原理可以分為:
漁家傲?朱服【宋】
漁家傲?朱服
小雨纖纖風細細。萬家楊柳青煙里。
戀樹濕花飛不起。愁無際。
和春付與東流水。
九十光陰能有幾。金龜解盡留無計。
寄語東城沽酒市。拚一醉。
而今樂事他年淚。
錄自陳廷焯《詞則》上。